CRI计算采用的标准色样板为非饱和色,对于衡量连续且频带较宽的光源的显色性比较好;对于LED 等饱和色光源,显色性评价准确性会有一定的误差。如图2,选取12块标准色卡与标准光源对比,受试LED光源A(Ra =80)对右边四块饱和色的表现不如受试LED光源B(Ra =67)。
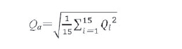
2 色质指数CQS 基于CRI在评估LED光源时,存在色空间不均匀、标准色样少、饱和度过低等问题。美国国家标准与技术研究所给出一种新方法——色质指数(Color Quality Scale ,简称CQS),来评价 LED 等新型白光光源的颜色品质。 与CRI类似,CQS也采用验色法。通过被测光源与参考光源,照射同标准色样,计算出它们之间的色差。区别于CRI的非饱和色,CQS选取15种饱和色,它们平均分布于整个可见光谱中。 如图3,色质指数CQS测试色板的颜色由红到紫构成近乎连续变化的偏饱和颜色。计算CQS值所需的数据都可以从光源的光谱和色样的颜色属性中推导出来,对15块色样的颜色位移量的初始计算与对CRI色样的计算相似,但是CQS值是取15个数据的均方根值,即:
式中:Qa——Qi的15个数据的均方根值;Qi ——被测光源与参考光源照射同一套标准色样的色差,i取1~15。相比于CRI(Ra)的计算,CQS(Qa)的计算方法在色差的权重上得到了增强,这样即使在色样间有一些色差,也不会对最终结果产生重大影响。 CQS兼顾了LED白光等饱和色和样板色的完整性,但在准确评价颜色的保真度、偏好度不同种族人群方面,需要进一步进行视觉实验和完善。 3 电视光源一致性指数TLCI 欧洲广播联盟(European BroadcastingUnion,简称 EBU)在2011年11月发布了另外一种针对演播室灯光的测试标准——电视光源一致性指数(Television Lighting ConsistencyIndex,缩写为TLCI),它充分考虑了电视摄像机对照明环境的要求。 TLCI是用光谱辐射计对一个光源发出的光谱能量分布进行测量和计算的。TLCI标准的测试与CRI有些类似,是由一张色彩对比图标显示比对结果确定的。其测试色块有24块,如图5,左侧测试色块显示了由标准摄影机所还原并在标准显示屏上显示的参考光源和被测光源,右边的表格提供了12个色彩区块调整亮度、色度和色调所需的指示。右下的图示则画出了被测光源(深黑色曲线)和参考光源(浅色曲线)的光谱强度分布对比图。
节选自《演艺科技》2016年第5期王立《光源显色性评价标准与高清电视画质的关系》
上一篇: 如何配合节目制作中舞台灯光与切像